Picture of Me

Hi! I'm Lyza Marino, an undergraduate neuroscience student at the University of Rochester.

Here, you can look at some of the things I'm working on.

Projects:

STA of a simple cell with vertical RF given by a 2D Gabor function

This code is from an assignment for a computational neuroscience course at the University of Rochester. The purpose is to use a 2D Gabor function to implement a simple cell with a vertical RF, and an output nonlinearity of f(x) = x2 if x > 0, otherwise f(x) = 0. The RF extended ±5 degrees in the x and y-directions. The image was discretized such that 1 pixel corresponds to a 0.2 x 0.2 degree span (50 x 50 image).

Simple cell vertical receptive field given by a 2D Gabor function Cross section at y=0
Vertical Grating Image Response to vertical grating image
STA Analysis with a varying number of images Github Repository

Leaky Integrate-and-Fire Neuron Model

This is a project for a computational neuroscience course to simulate a leaky integrate-and-fire neuron in python using basic Euler approximation. It generates plots of membrane potential traces under different input noise conditions, Inter-spike interval (ISI) histograms with coefficient of variation (CV), and Spike rate vs input noise level. The model can be used to explore stochastic firing properties of neurons and to visualize how input variability affects neural coding.

LIF

Github Repository

Markov chain Monte Carlo Gibbs Sampling of Projective Fields

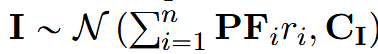
This code is from an assignment for a computational neuroscience course at the University of Rochester. The assignment is to model V1 neurons under the assumption that they perform inference in a linear Gaussian model with binary latents by neuron sampling:

Sampling equation

CI is a diagonal matrix with diagonal elements being 0.1 (the variance of the independent pixel noise). The Bernoulli prior over the latents (the prior probability of any one latent being 1): p(ri = 1) = 0.04 Τhe 64 projective fields used were provided beforehand, but more could be generated using a 2D Gabor function.

Covariance Matrix

Github Repository

Resume

Resume Photo